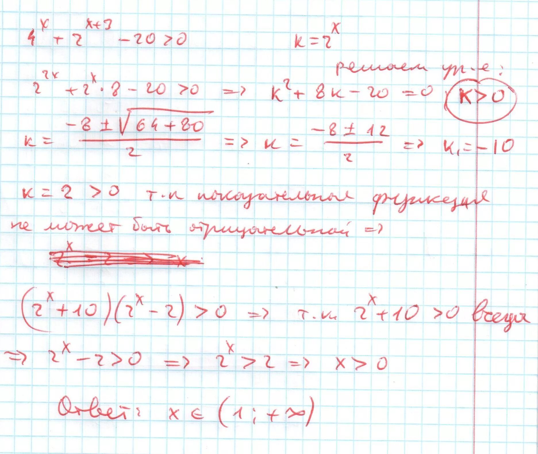
Реши неравенство 4x 16 1