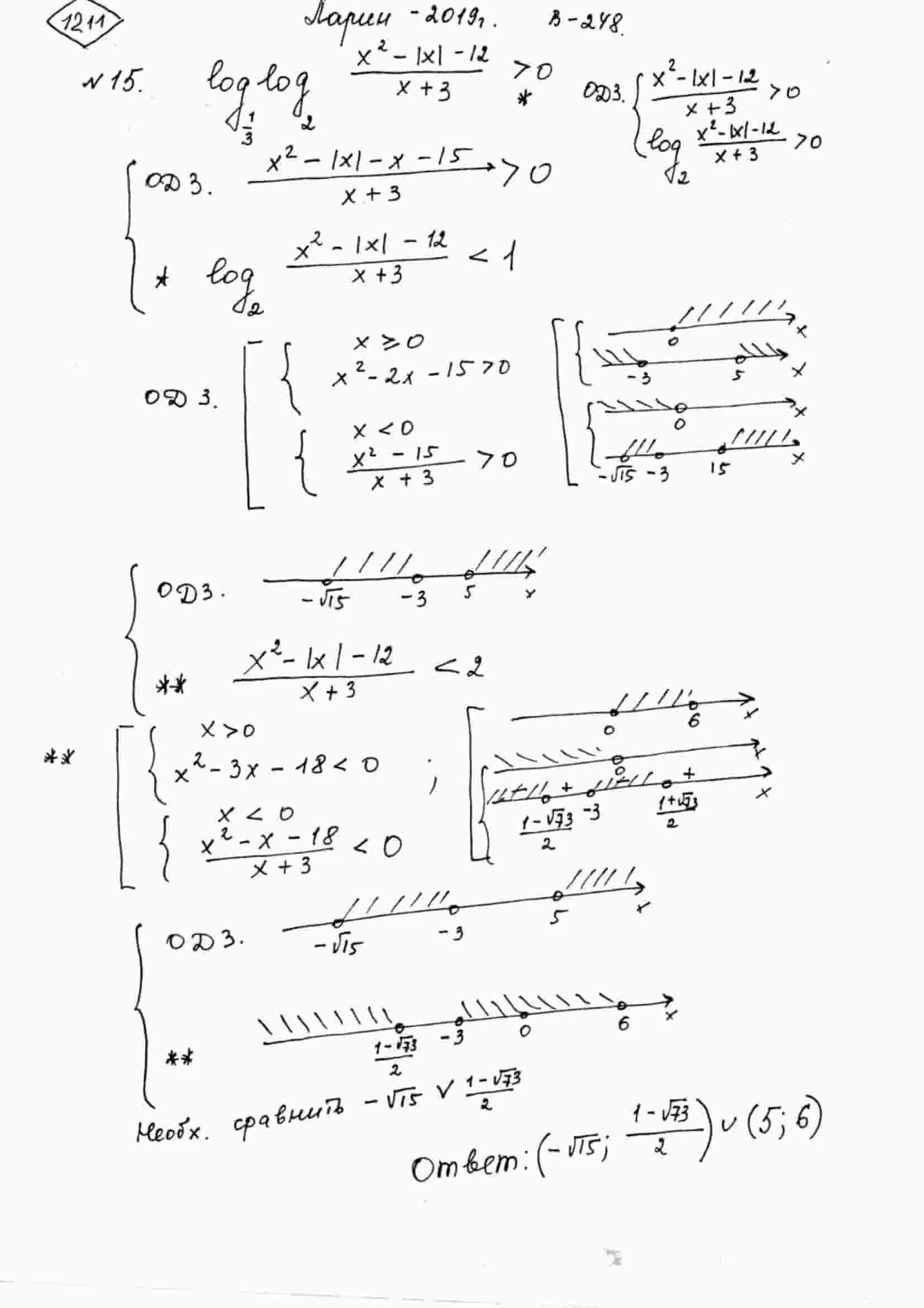
Реши неравенство log 3x 1 2