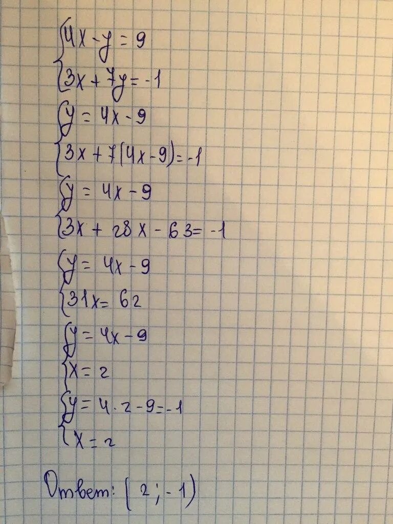
Решить 14 4 1 8