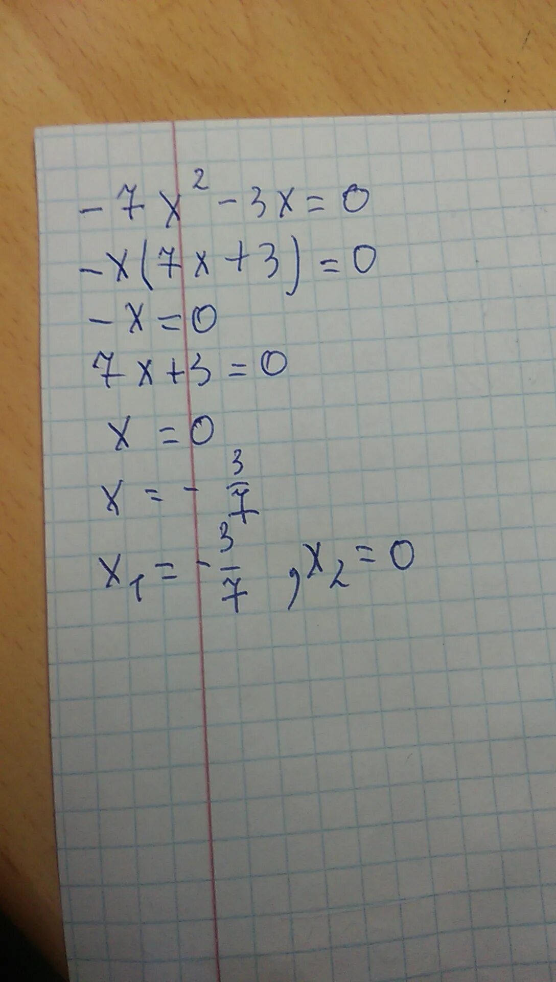
Решить 7 икс 0