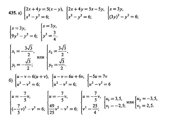
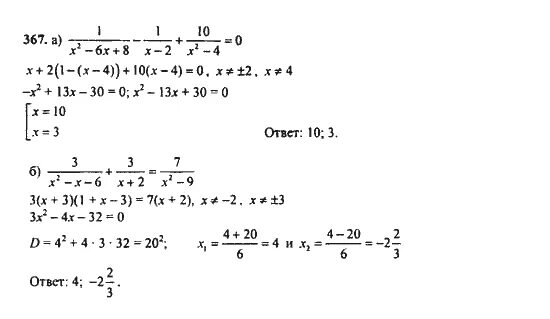
Решить алгебру 9 класс макарычев