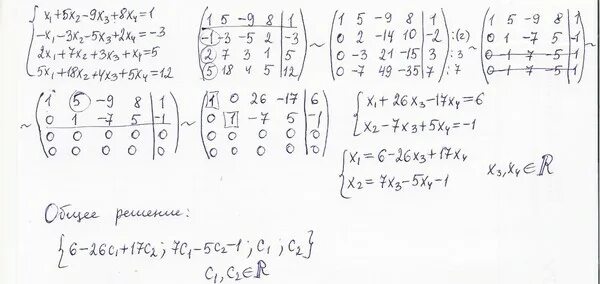
Решить матрицу методом жордана гаусса