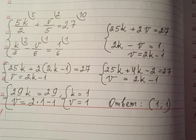
Решить пример 35