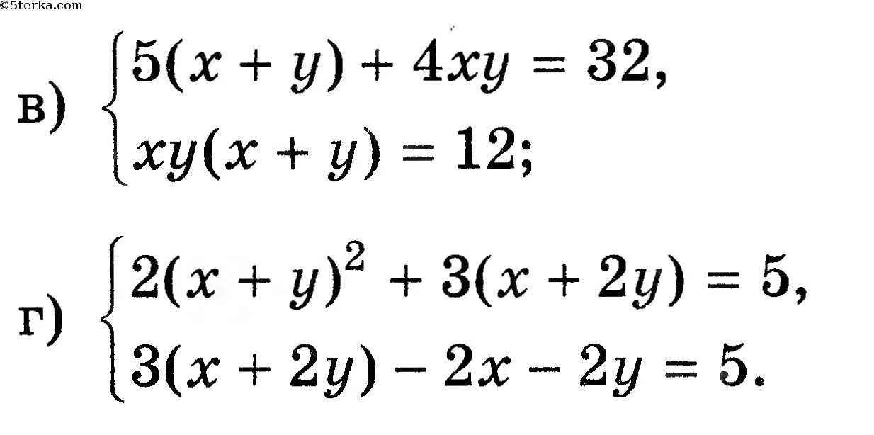
Решить систему уравнений методом замены переменных