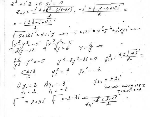
Решить z 1 2 0 6