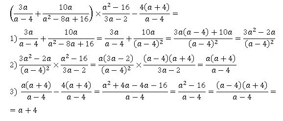
Решите 3а а 4