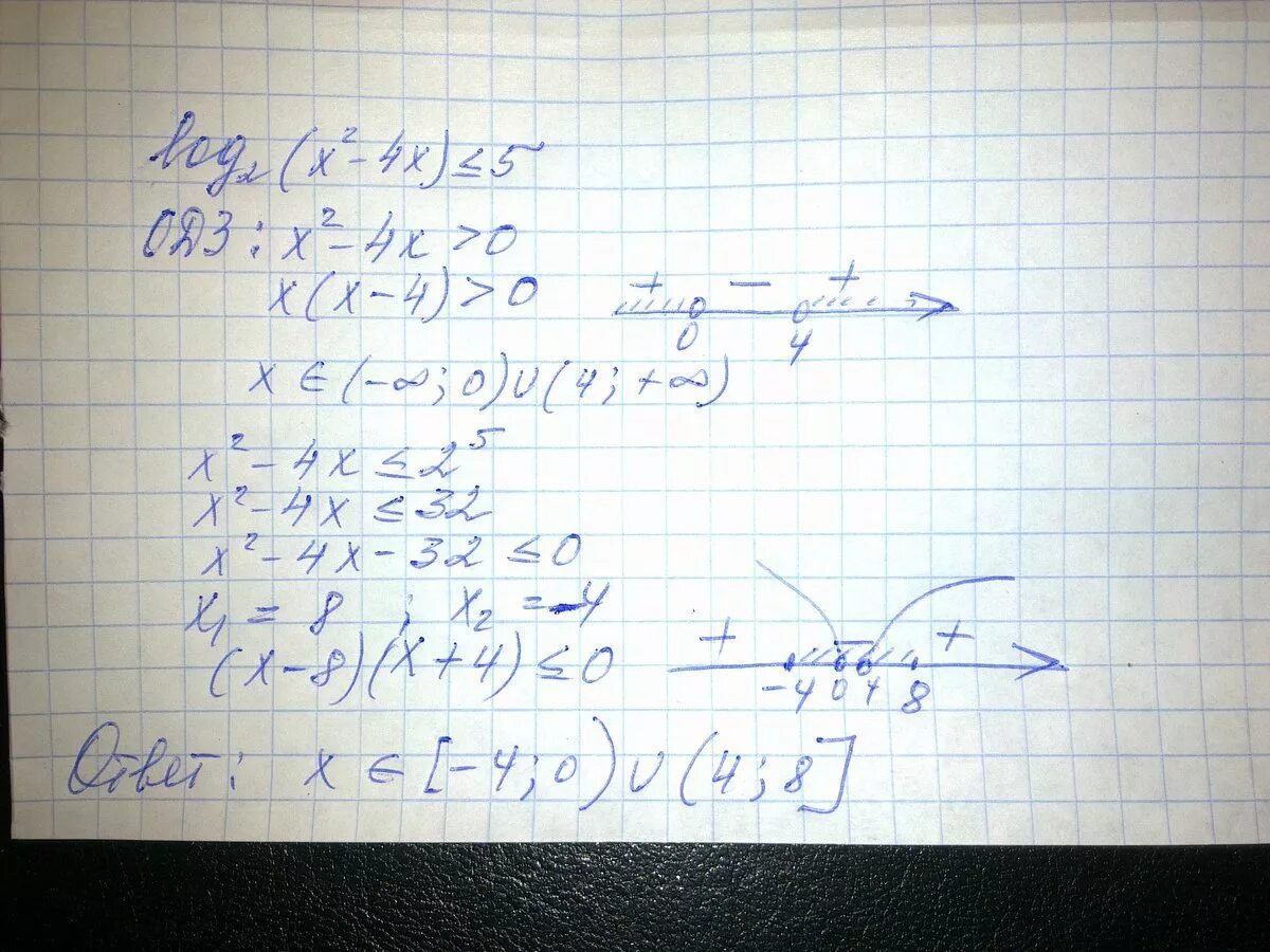
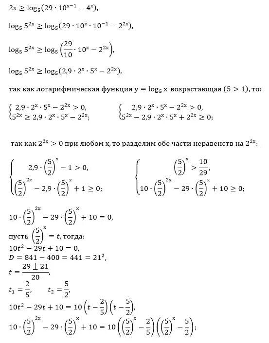
Решите неравенство log5 x 1 2