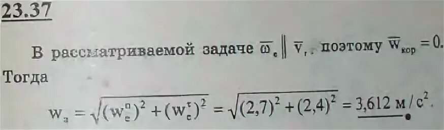
Решите предыдущую задачу в предположении