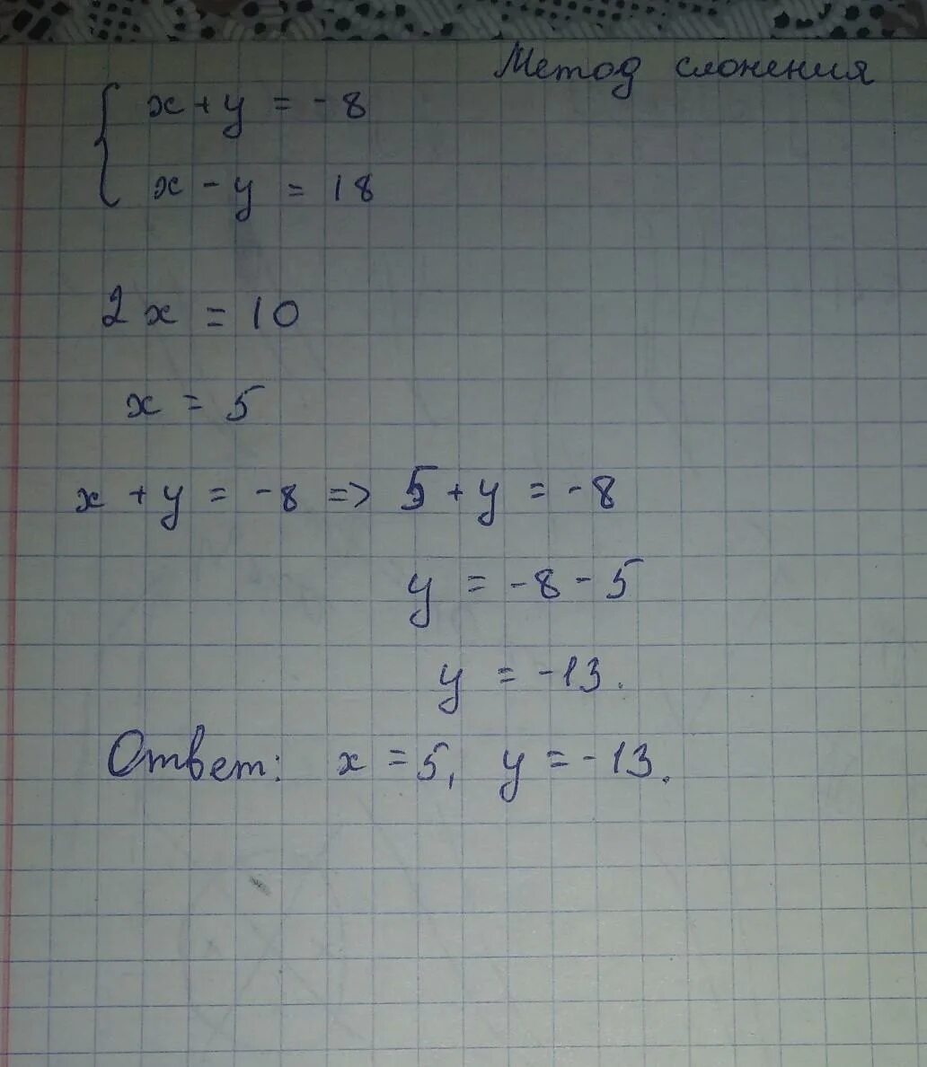
Решите систему уравнений 4 x 5