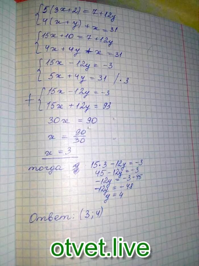
Решите систему уравнений 4х 5у 1