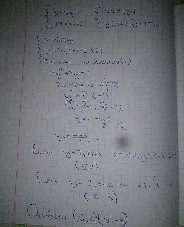
Решите систему уравнений x2 xy 12