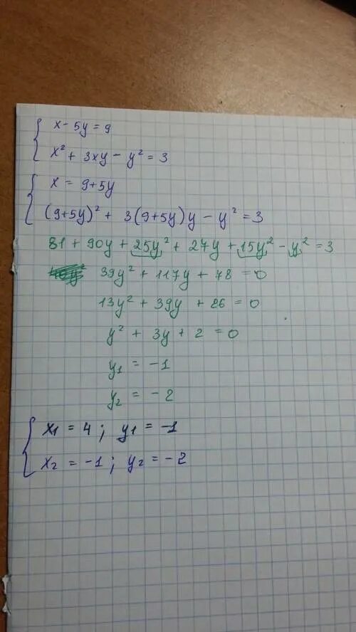
Решите систему x 2y 3