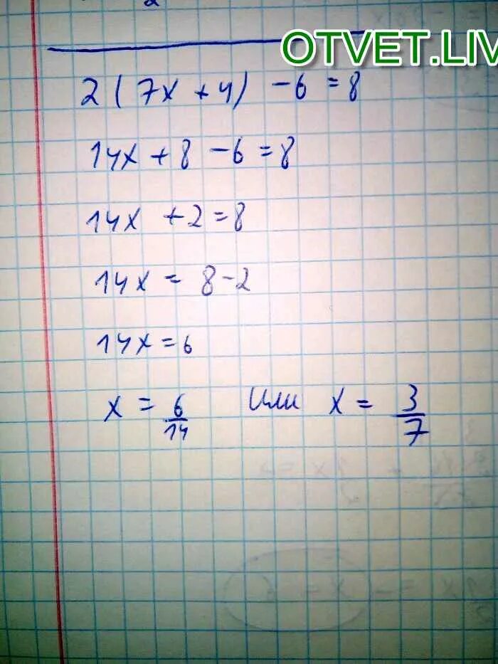
Решите уравнение 4х2 7 7 24