Главная
»
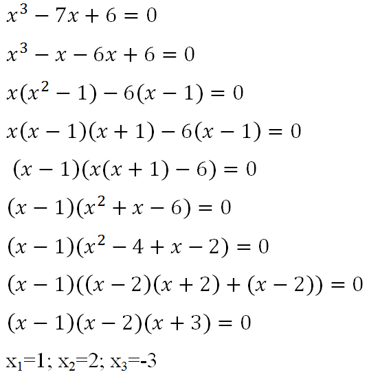
Решите уравнение 6x 3
Решите уравнение 6x 3
« Предыдущее
8 / 62
Следующее »