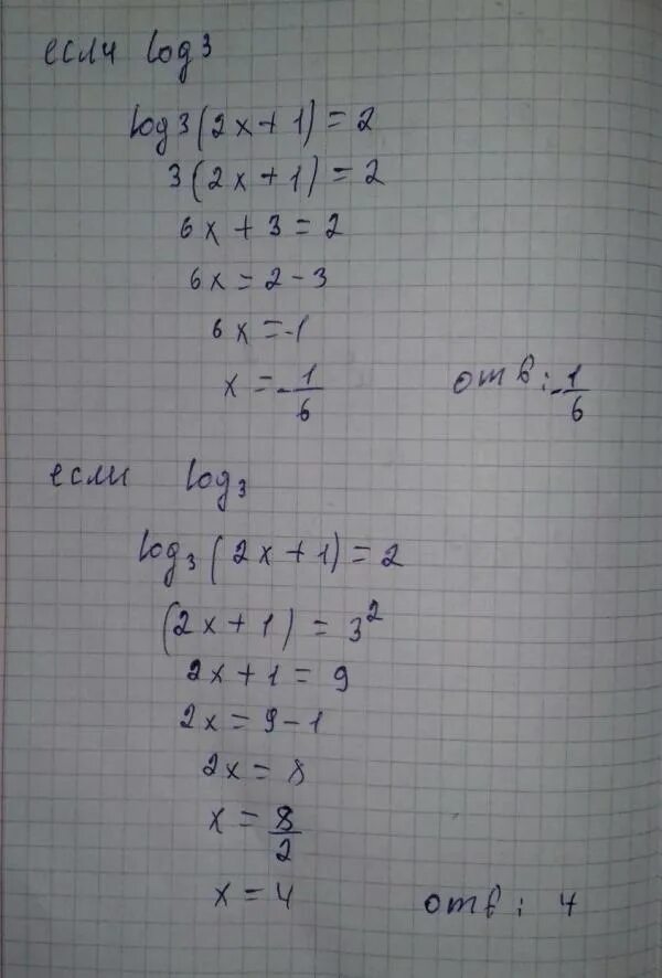
Решите уравнение log3 x 3 1