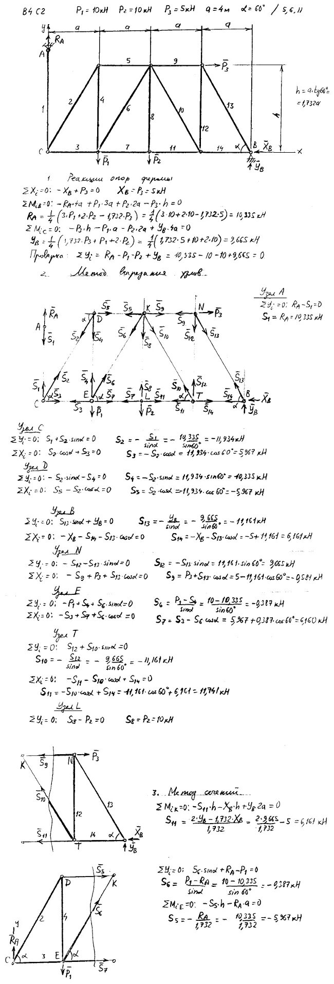
Решу термех