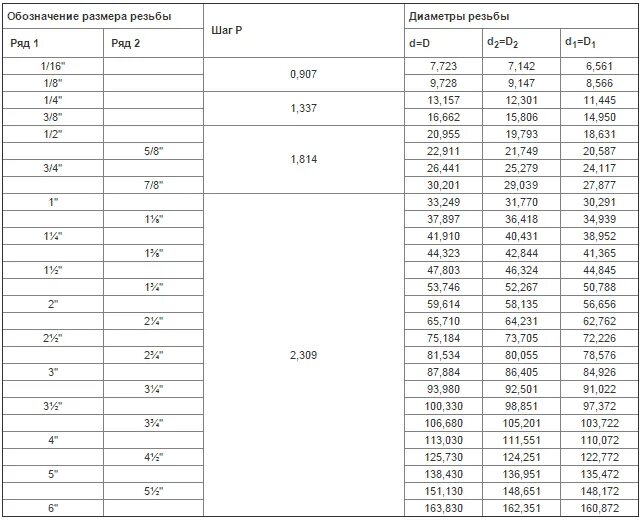
Резьба 1 2 и 1 4