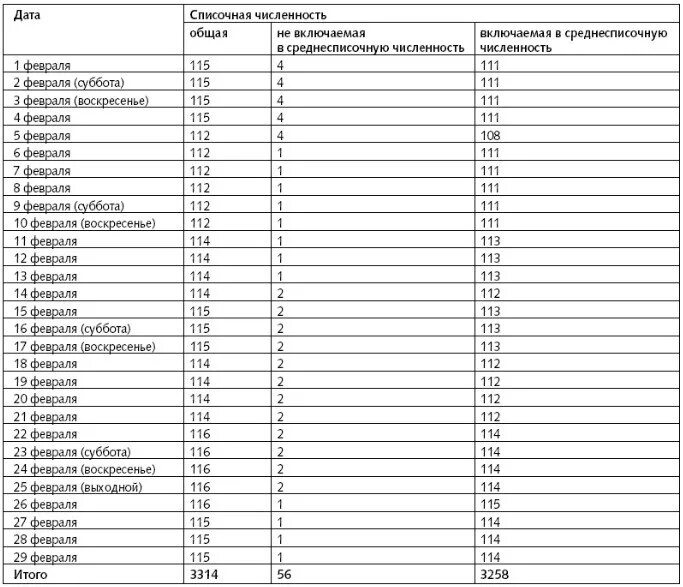
Росстат расчет среднесписочной численности