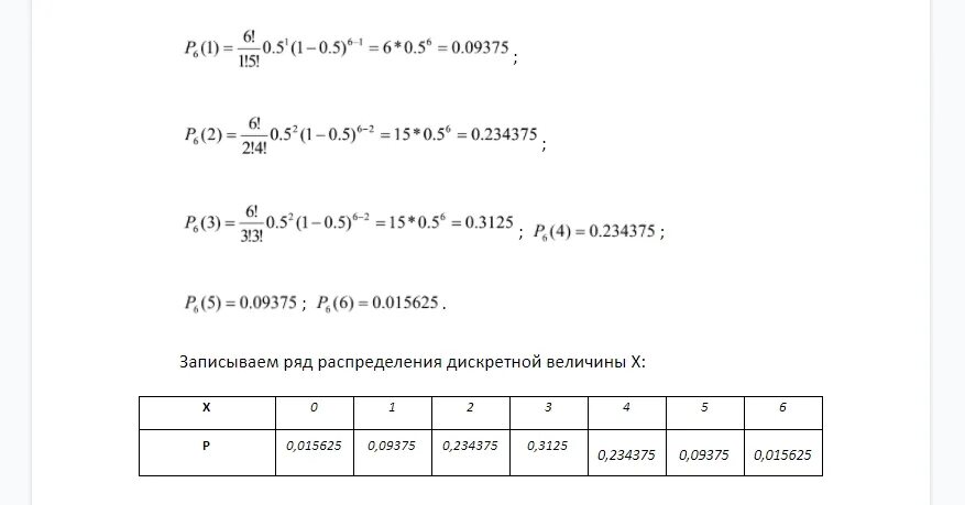
Ряд распределения числа