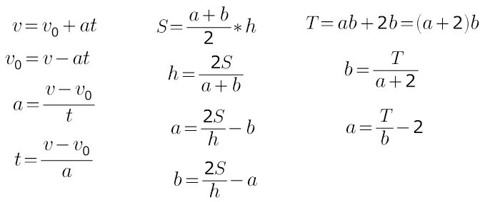
S v0 t