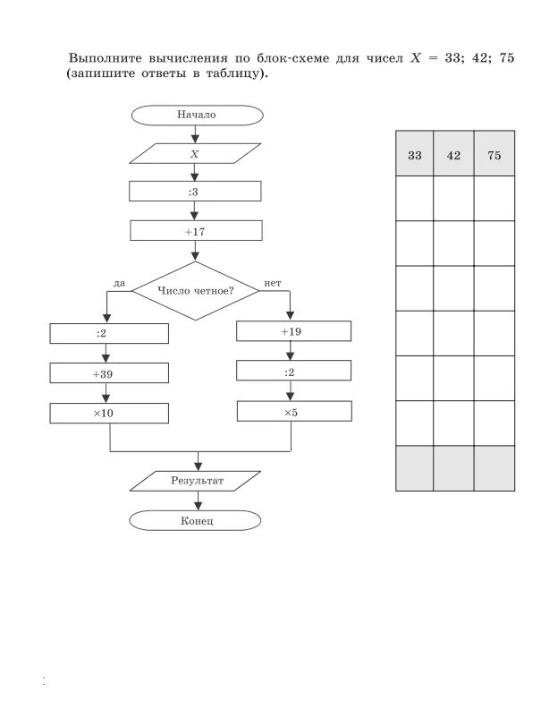
Самостоятельная по информатике 6 класс