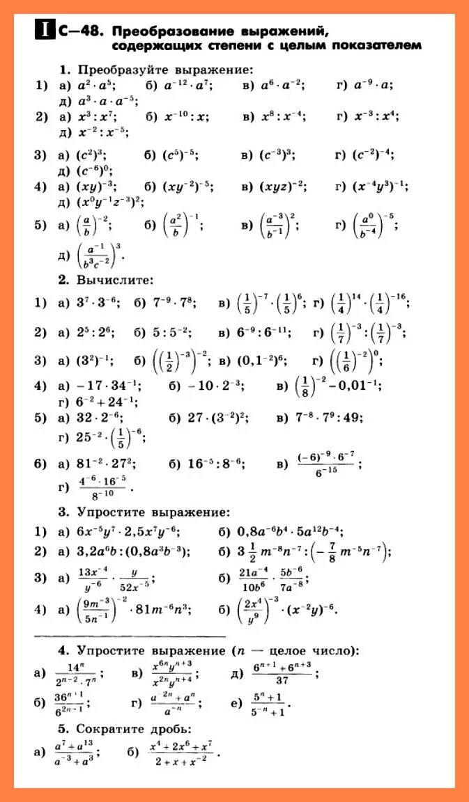
Самостоятельная преобразование выражений 7