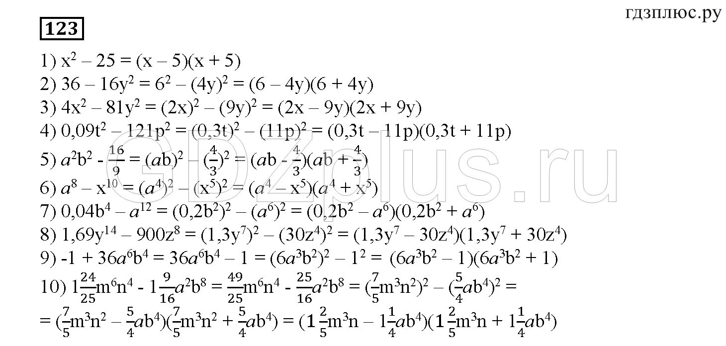
Самостоятельная работа разность квадратов двух выражений