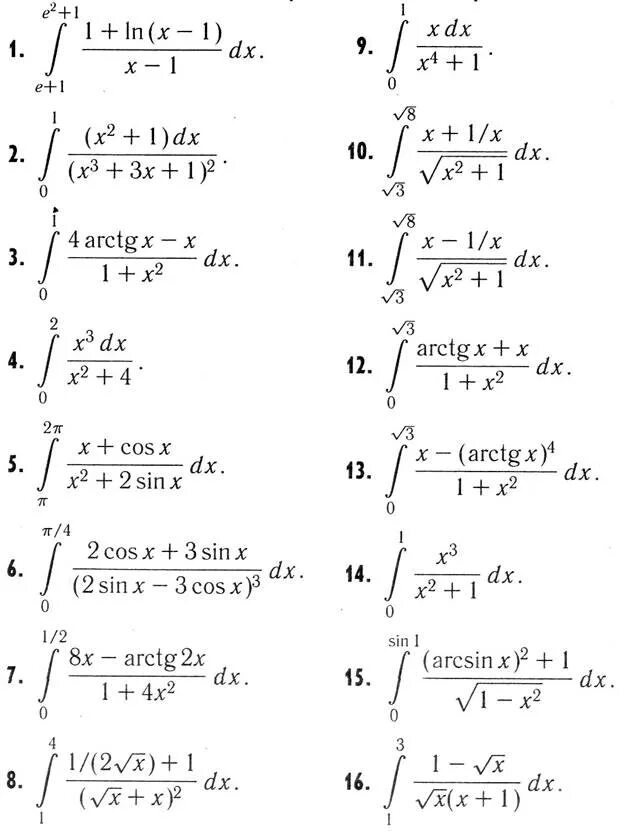
Самостоятельная работа вычисление интегралов