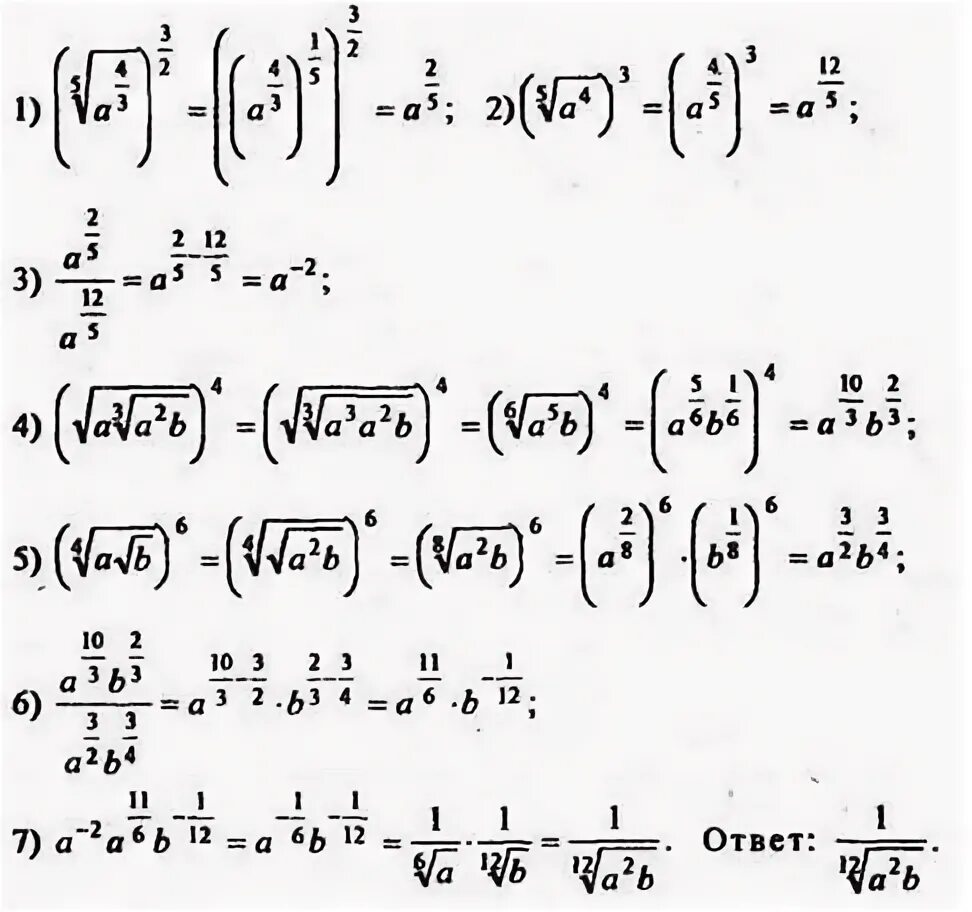
Самостоятельная степень с рациональным показателем 11 класс