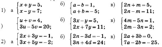
Самостоятельные работа решение систем 7 класс