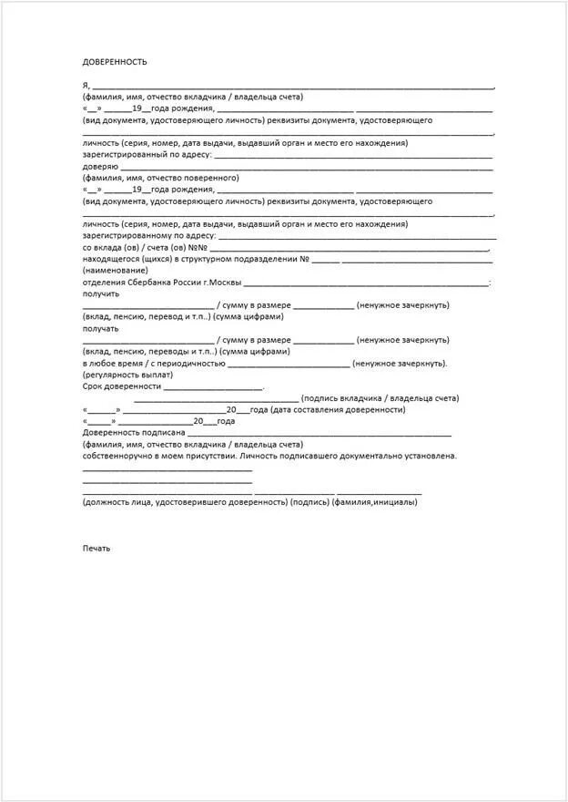
Сбер доверенность