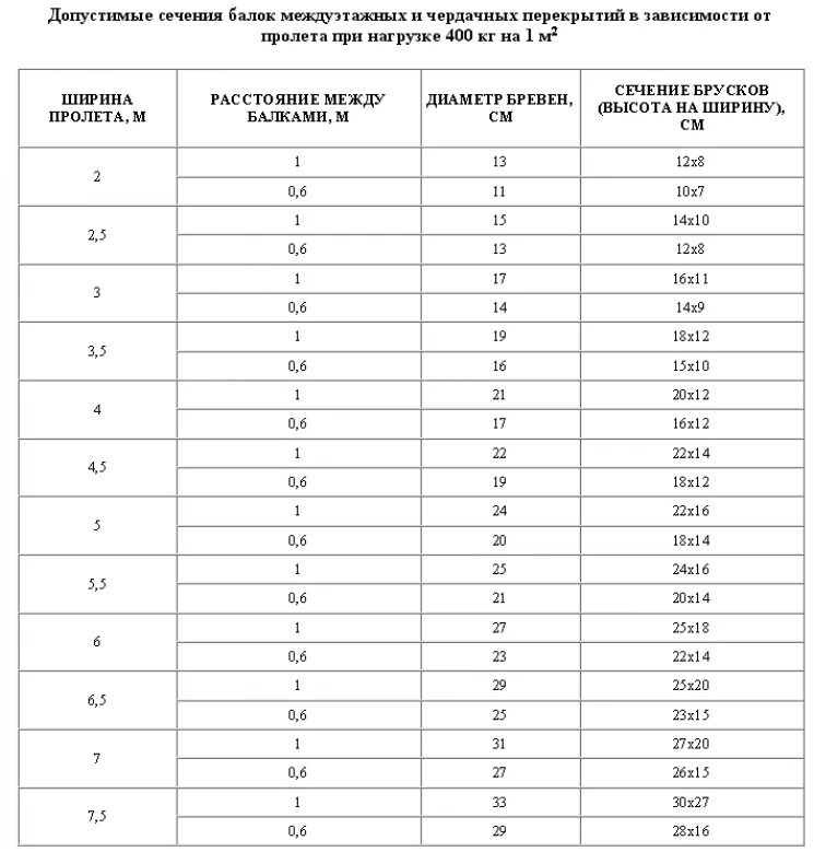
Сечение от пролета