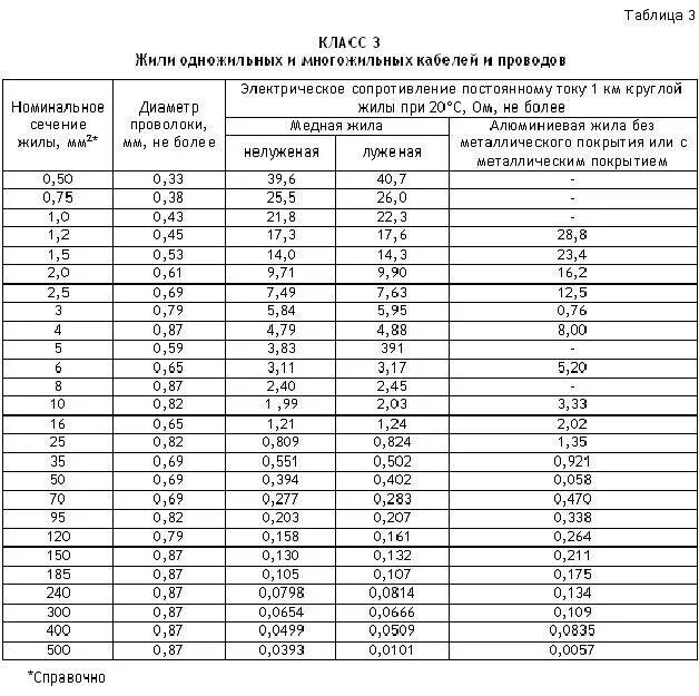
Сечение провода по диаметру таблица