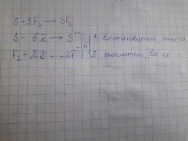
Sf s2