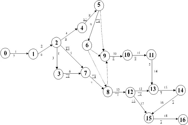
Схема сетевого графика