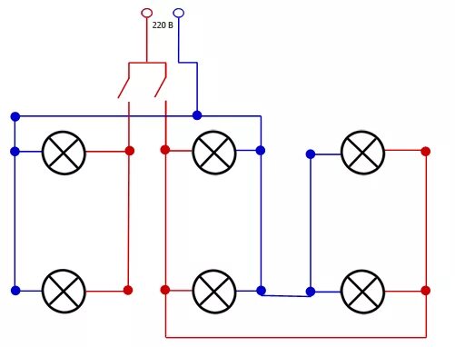
Схемы соединения ламп