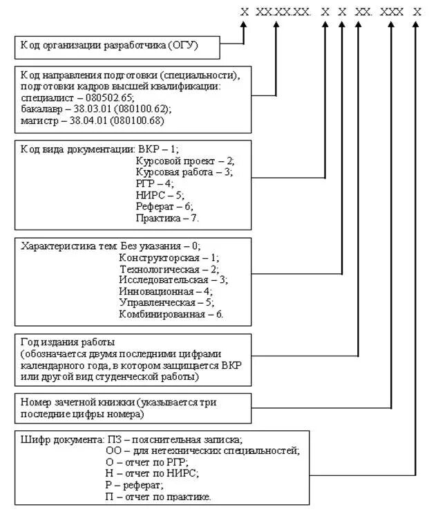
Шифр направления подготовки