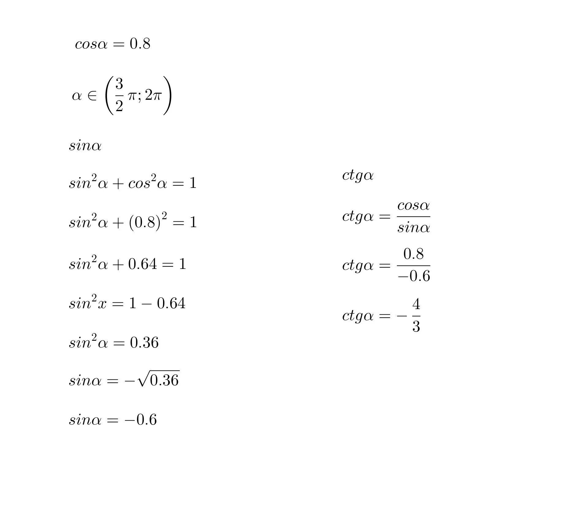
Sin 0 8 найти cos