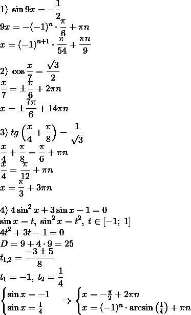
Sin 4x 3 1 3 0