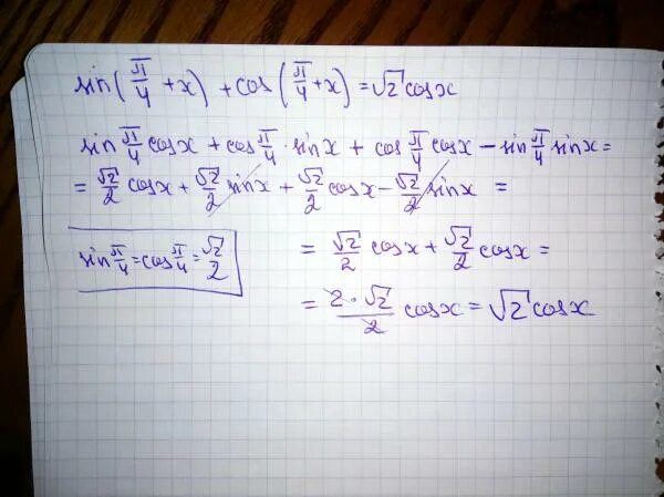
Sin 4x cos 4