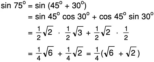
Sin 75 по формуле