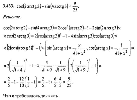
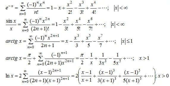
Sin arctg 1