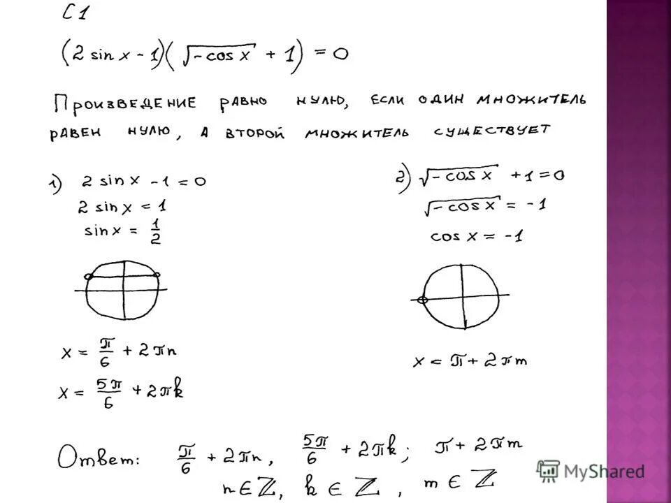
Sin x 1 является