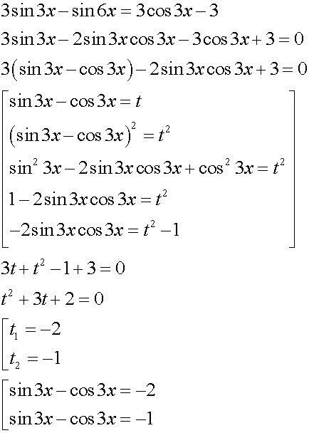
Sin x 3 x 6 1