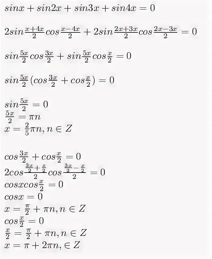
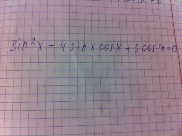
Sin2x 4 x 2 0