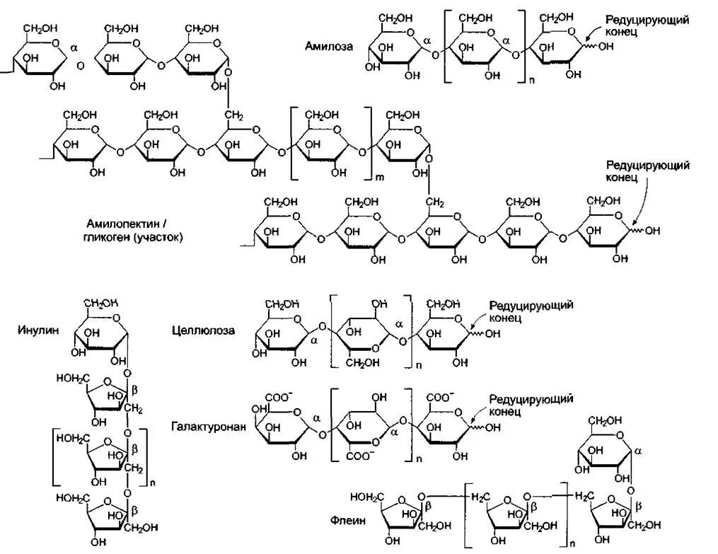
Синтез полисахарида целлюлозы