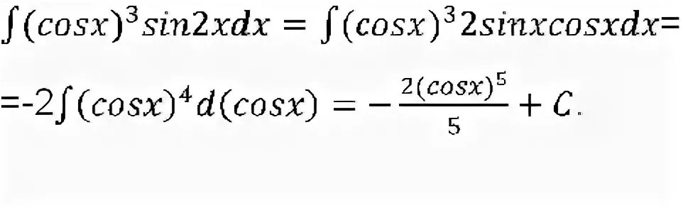
Синус куб икс