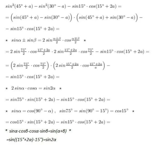
Синус квадрат 45