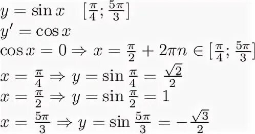
Sinx 2п