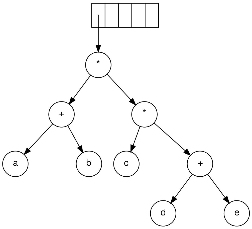
Скд дерево значений